1.激光干涉儀的發展史
做衣量身、體檢量高都由尺子完成,這些日常的尺子的刻度是毫米。機械零件加工和檢驗都要用尺子,在機械制造企業,卡尺、千分尺隨處可見,其精確度是10 μm,1 μm。
1887年邁克爾遜(Michelson)和莫雷(Morley)研究以太[1]:是否存在,使用了光。他們以光波長作尺子刻度測量了水平面和垂直面的光速之差,第一次否定了以太的存在。他們利用的是光的干涉現象,這就是光學干涉儀的誕生。
注[1]:根據古代和中世紀科學,以太被稱為第五元素,是填充地球球體上方宇宙區域的物質。以太的概念在一些理論中被用來解釋一些自然現象,例如光和重力的傳播。19世紀末,物理學家假設以太滲透到整個空間,以太是光在真空中傳播的介質,但是在邁克爾遜-莫利實驗中沒有發現這種介質存在的證據,這個結果被解釋為沒有光以太存在。
1961年研究人員發明了氦氖激光器,開始用氦氖激光器作為邁克爾遜干涉儀的光源,從而誕生了激光干涉儀。圖1是邁克爾遜干涉儀簡圖。邁克爾遜干涉儀是普通物理的基本實驗之一。但今天在科學研究和工業中應用的激光干涉儀出于邁克爾遜,但性能遠遠勝于邁克爾遜。

圖1 邁克爾遜干涉儀簡圖
基本上,激光干涉儀都使用氦氖激光器的632.8 nm波長的光,橙紅燦爛的光束射向遠方,發散角可以小到0.1 mrad,光束截面的光斑均勻。氦氖激光器還可輸出綠光、黃光、紅外光,但只有632.8 nm波長的光適合作激光干涉儀的光源。其它類型的激光器,如半導體(LD)、固體激光器等的相干等性能都遠不及氦氖激光器,研究人員多有嘗試,但都沒有成功。
激光干涉儀有很多應用,但本質都是測量中學課本講的“位移”,諸多應用都是“位移”的延伸和轉化。激光干涉儀有兩個主流類型:單頻激光干涉儀和雙頻激光干涉儀。單頻干涉儀能做的雙頻激光干涉儀都能做,但雙頻干涉儀能做的單頻干涉儀不見得能做。由于歷史、技術和商業原因,兩種干涉儀都有著廣泛應用。但在光刻機上,雙頻激光干涉儀占主要市場。
單頻干涉儀不需要對市場上的氦氖激光器進行改造,直接可用。但雙頻激光干涉儀用的激光器需要附加技術使其產生雙頻(兩個頻率)。
歷史上,雙頻激光干涉儀測量位移的速度不及單頻激光干涉儀,自發明了雙折射-塞曼雙頻激光器,雙頻激光干涉儀的測量速度也達到每秒幾米,與單頻激光器看齊了。
按產生雙頻的方法,雙頻激光干涉儀分為塞曼雙頻激光(國外)干涉儀和雙折射-塞曼雙頻激光(國內)干涉儀。
現在干涉儀的指標:小可感知1 nm(十億分之1 m),可以測量百米長的零件,且測量70 m長的導軌誤差僅為幾微米。
2.測量位移的干涉儀和測量表面的干涉儀?
有幾個概念的定義比較混亂(特別是有些研究發展趨勢的報告),需要注意。
一是“激光測距”和“激光測位移”沒有界定,資料往往鹿馬不分。
二是不少資料所說“激光干涉儀”實際上包含兩種不同的儀器,一種是測量面型(元件表面)的激光干涉儀,一種是測量位移(長度)的激光干涉儀。如海關的統計和一些年度報告往往混在一起。
激光測距機發出的激光束是一個持續時間納秒的光脈沖,利用光脈沖達到目標和返回的時間之半乘以光速得到距離,完全和光的干涉無關。
盡管激光波面干涉儀和測量位移(長度)的干涉儀都是利用光干涉現象,但儀器的設計、光路結構、探測方式、應用場合幾乎沒有共同之處。激光波面干涉儀能夠測量光學元件表面的形貌,光束直徑要覆蓋被測零件,在整個零件表面形成系列干涉條紋,根據測量條紋的亮度(也即相位)算出表面的形貌,其光束口徑、零件直徑可達百毫米;另一種則是測量位移(長度)干涉儀,光干涉發生在直徑幾毫米光路上,表現為只有光電探測器(眼睛)正對著射來的光線才能“看”到光強度的波動,由波動的整次數和(不足半波長的)小數算出被測件的位移。
3.雙頻激光干涉儀的原理和構成
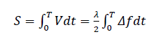
當圖1的可動反射鏡有位移時,光電探測器光敏面會感受到的光強度正弦變化,動鏡移動半個波長,光強變化一個周期。光電探測器將光強變化轉化為電信號。如探測到電信號變化了一個周期,我們就知道動鏡移動了半個波長。計出總周期數測得動鏡的位移。

(1)
式中:λ為激光波長,N 為電脈沖總數。
今天的激光干涉儀使用632.8 nm波長的激光束,半波長即316.4 nm。動鏡安裝在被測目標上與目標一起位移,如光刻機的機臺,機床的動板上。為了提高分辨力,半波長的正弦信號被細分,變成1 nm甚至0.1 nm的電脈沖,可逆計數器計算出總脈沖數,再由計算機計算出位移量S。也常用下式表示動鏡的位移,

(2)
其中△f為目標運動速度為V時的多普勒頻移。式(1)和(2)是等價的,可以互相推導推出來,僅是表方式的不同。
圖2是今天的雙頻激光干涉儀框圖。它由7個部分構成。

圖2 雙頻激光干涉儀原理框圖。
(1) 雙頻氦氖激光器
氦氖激光器上有磁體。磁體為筒形,激光器上加的是縱向磁場,稱為縱向塞曼雙頻激光器。四分之一波長(λ/4)片把激光器輸出的左旋和右旋光變成偏振態互相垂直的線偏振光。前文所說的雙折射-塞曼雙頻激光器則是在激光器內置入雙折射元件(圖內未畫出),并加圖2所示的磁條。雙折射元件使激光器形成雙頻,橫向磁場消除兩個頻率之間的耦合。雙折射-塞曼雙頻激光干涉儀不需使用四分之一波長片。
雙頻激光器是雙頻激光干涉儀的核心,很大程度上,它的性能決定激光干涉儀的性能,要求波長(頻率)精度高,功率大,壽命長,雙頻間隔(頻差)大且穩定,偏振狀態穩定,兩頻率之間不偏振耦合。這一問題的解決是作者較突出的貢獻之一。
(2) 頻率穩定單元
它的作用是保證波長(頻率)這把尺子的精確性,達到10-8甚至10-9,即4.74×1014的激光頻率長期的變化僅1 MHz左右。
(3) 擴束準直器
實際上是一個倒裝的望遠鏡,防止光束發散。要求激光出射80 m,光束光斑直徑仍然在10 mm之內。
(4) 測量干涉光路
測量干涉光路包括:從分光鏡向右直到可動反射鏡(實際是個角錐棱鏡),向下到光電探測器2??蓜臃瓷溏R裝在被測目標上(如光刻機工作臺上的反射鏡),目標的移動產生激光束的頻移Δf,Δf和目標速度成正比,積分就是目標走過的距離(位移或長度)。積分由信號處理單元完成。
(5) 參考光路
參考光路由分光鏡-偏振片-光電探測器1實現,參考光路中沒有任何元件移動,它測得的位移是“假位移”真噪聲。噪聲來自環境的擾動。信號處理單元從干涉光路的位移中扣除這一噪聲。
(6) 溫度和空氣折射率補償單元
干涉儀測量的目標位移可能長達百米,空氣折射率(及改變)和長度的乘積成為激光干涉儀的主要誤差來源之一。用傳感器測出溫度、氣壓、濕度,信號處理單元計算出空氣折射率引入的假位移,并從結果中扣除。
(7)信號處理單元。光電探測器1和2,分別把信號f1-(f2±Δf)和f1-f2的光束轉化為電信號,是可動反射鏡位移時因多普勒效應產生的附加頻率,正負號表示位移的方向。電信號經放大器、整形器后進入減法器相減,輸出成為僅含有±Δf的電脈沖信號。經可逆計數器計數后,由電子計算機進行當量換算即可得出可動反射鏡的位移量。環境溫度,氣壓,濕度引入的折射率變化(假位移)送入計算機計算,扣除他們的影響。然后顯示。相當多的應用要求計算機和應用系統通訊,實現對加工過程的閉環控制。
4.激光干涉儀的應用
一般說來,激光干涉儀的主要用途是測量目標的運動狀態,即目標的線性位移大小、旋轉角度(滾轉、俯仰和偏擺)、直線度、垂直度、兩個目標在運動的平行性(度)、平面度等。無論光刻機的機臺,還是數控機床的導軌(包括激光加工機床),不論是飛行物,還是靜止物的熱膨脹、變形,一旦需要高精度,都要用激光干涉儀測量,得到目標的運動狀態。
運動狀態用由多個參數給出。以光刻機兩維運動中的一個方向運動時為例,位移(走過的長度)、機臺位移過程中的偏轉(角)、俯仰(角)和滾轉(角)都需要測出。
很多類型的設備需要測量,如各類機床、三坐標測量機、機器人、3D打印設備、自動化設備、線性位移平臺、精密機械設備、精密檢測儀器等領域的線性測量。圖3是幾個應用的例子。
美國LIGO激光干涉儀實驗室宣稱首次直接測量到了引力波(2016),使用的儀器是激光干涉儀,單程臂長4 km。見圖4。

(a)雙頻激光干涉儀測量球面鏡R值 (b)雙頻激光干涉儀雙路測量動龍門激光打孔機 (c)雙頻激光干涉儀測量導軌直線度
圖3 激光干涉儀幾個應用的例子
圖4 LIGO激光干涉儀
來源:https://www.ligo.caltech.edu/image/ligo20150731c
5. 雙頻激光干涉儀發展存在的問題
(1)國內外單頻和雙頻激光干涉儀的進展及問題
多年來,國內外在單頻和雙頻激光干涉儀方面進步不大,特例是雙折射-塞曼雙頻激光器的發明。由于從國外購買的激光器不能產生大間隔的雙頻光,原有國內雙頻激光干涉儀的供應商基本停產。以前作為基礎研究的雙折射-塞曼雙頻激光器被推到前臺。雙頻激光器是干涉儀的核心技術,走在了世界前端,也解決了國內無源的重大難題。北京鐳測科技有限公司的開發、糾錯,終于使雙折射-塞曼雙頻激光干涉儀實現產品化,進入先進制造全行業,特別是光刻機。北京鐳測科技有限公司雙折射-塞曼雙頻激光器達到指標:頻率間隔可在1 ~ 30 MHz之間選擇,功率可達1 mW。 頻率差與激光功率之間沒有相互影響,沒有塞曼效應的雙頻激光器高功率和大頻率差不能兼得的缺點。
盡管取得進展,但氦氖激光器的制造工藝等是個系統性技術問題,需要全面改善。特別是,國外雙頻激光干涉儀的幾家企業的激光器都是自產自用,不對外銷售,因此,我們必須自己解決問題。
(2)業界往往忽略干涉儀的非線性誤差
很長時期以來,業界認為單頻干涉儀沒有非線性誤差。德國聯邦物理技術研究院(PTB) 經嚴格測試發現,單頻干涉儀也存在幾納米的非線性誤差,甚至大于10 nm。塞曼效應的雙頻干涉儀也有非線性誤差,也是無法消除。對此干涉儀測量誤差,大多使用者是不知情的。到目前,中國計量科學院的測試得出,北京鐳測科技生產的雙頻激光干涉儀的非線性誤差在1 nm以下。建議把中國計量科學院的儀器批準為國家標準,并和德國、美國計量院作比對。
非線性誤差發生在半個波長的位移內,即使量程很小也照樣存在。

圖5 中國計量科學研究院:鐳測LH3000雙頻激光干涉儀在進行測長比對
6. 雙頻激光干涉儀的未來挑戰
本文作者從事研究雙折射-塞曼雙頻激光器起步到成批生產雙折射-塞曼雙頻激光干涉儀,歷經近40年,建議加強以下研究。
(1)高測速
制造業的發展很快,精密數控機床運動速度已達幾m/s,有特殊應用提出達到10 m/s的要求。目前單頻激光的測量速度還沒有超過5 m/s。雙折射-塞曼雙頻激光干涉儀的測速也處于這一水平,但其頻率差的實驗已經達到幾十MHz,有待信號處理技術的跟進發展,實現10 m/s以上的測量速度。
(2)皮米干涉儀
市場上的干涉儀基本都標稱分辨力1 nm,也有0.1 nm的廣告。需要發展皮米分辨力的激光干涉儀以滿足對原子、病毒尺度上的觀測要求。
(3)溯源
前文已經提到,小于半波長的位移是把正弦波動信號電子細分得到標稱的1 nm,和真實的1 nm相差多少?沒有人知道,所以需要建立納米、皮米的標準。作者曾做過初步努力,達到10 nm的純光學信號,還需做長期艱苦的研究。
(4)提高氦氖激光器壽命
在未來很長一段時間,氦氖激光器仍然是激光干涉儀很好的光源,但其漏氣的特點導致其使用壽命有限,替換壽命終結的氦氖激光器導致光刻機停機,會帶來巨大經濟損失。因此,延長氦氖激光器壽命十分有必要。
來源: 光電匯OESHOW https://mp.weixin.qq.com/s/YkyogBrwMSRYC5slMdXERQ
- 2024-01-11
喜報|連中三元!熱烈祝賀鐳測科技通過‘高… - 2022-12-19
40年堅持,打通雙折射雙頻激光器及干涉儀全… - 2022-12-05
鐳測科技研制成功并批產可伐-玻璃組裝式(無… - 2022-09-22
鐳測科技創始人張書練教授榮獲“2021年度科… - 2021-11-19
鐳測科技創始人張書練教授當選美國光學學會… - 2021-10-12
潛心激光器納米測量40年,冷門中做出系列“… - 2021-07-09
3分鐘了解激光干涉儀——高精密的尺子 - 2021-03-03
突破!我國雙折射雙頻激光干涉儀實現批量生… - 2020-04-26
鐳測科技LH3000雙頻激光干涉儀助力我國新一… - 2018-12-07
張書練教授獲ISMTII-2017國際學術會議終身…







管理員
該內容暫無評論